
Situație tensionată la Spitalul de Urgență Târgu Cărbunești, unde astăzi, începând cu ora 9:00, a avut loc proba scrisă din cadrul concursului pentru ocuparea posturilor de asistent medical generalist debutant. Imediat după susținerea probei, candidații au fost informați, printr-un anunț publicat pe site-ul spitalului, că subiectul 3 din varianta extrasă nu va fi punctat, deoarece nu se regăsește în tematica oficială a concursului.
Decizia a fost justificată de comisia de concurs prin refacerea baremului: cele 100 de puncte vor fi redistribuite între celelalte patru subiecte rămase.
Însă acest anunț a stârnit revolta participanților, mulți dintre ei declarând că au investit timp prețios în redactarea răspunsului la acel subiect. Unii dintre candidați spun că au alocat o parte semnificativă a timpului de concurs pentru subiectul 3 și se simt nedreptățiți de faptul că efortul lor a fost anulat post-factum.
„Am scris cel mai mult la subiectul 3, pentru că îl stăpâneam bine. Acum aflăm că nu se mai punctează? Este inadmisibil!”, a transmis unul dintre candidați, nemulțumit, redacției noastre.
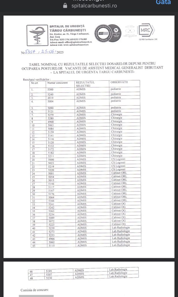
Potrivit listei oficiale publicate de spital, 48 de candidați au fost declarați admiși după selecția dosarelor și au participat la proba scrisă de astăzi.
Deși situația a generat nemulțumiri în rândul participanților, managerul instituției nu a oferit, până la această oră, niciun punct de vedere oficial privind desfășurarea concursului sau posibile măsuri, cum ar fi repetarea probei sau anularea acesteia.
Mai mulți candidați au sesizat redacția cu privire la această situație, considerând că întregul concurs riscă să fie compromis de această eroare de organizare.
Contactat de redacție, managerul spitalului, Sorin Mehedințiu, a oferit o reacție scurtă:
„Comisia a luat decizia de a nu puncta acel subiect. Totalul punctajului fiind calculat pentru celelalte subiecte din barem.”






